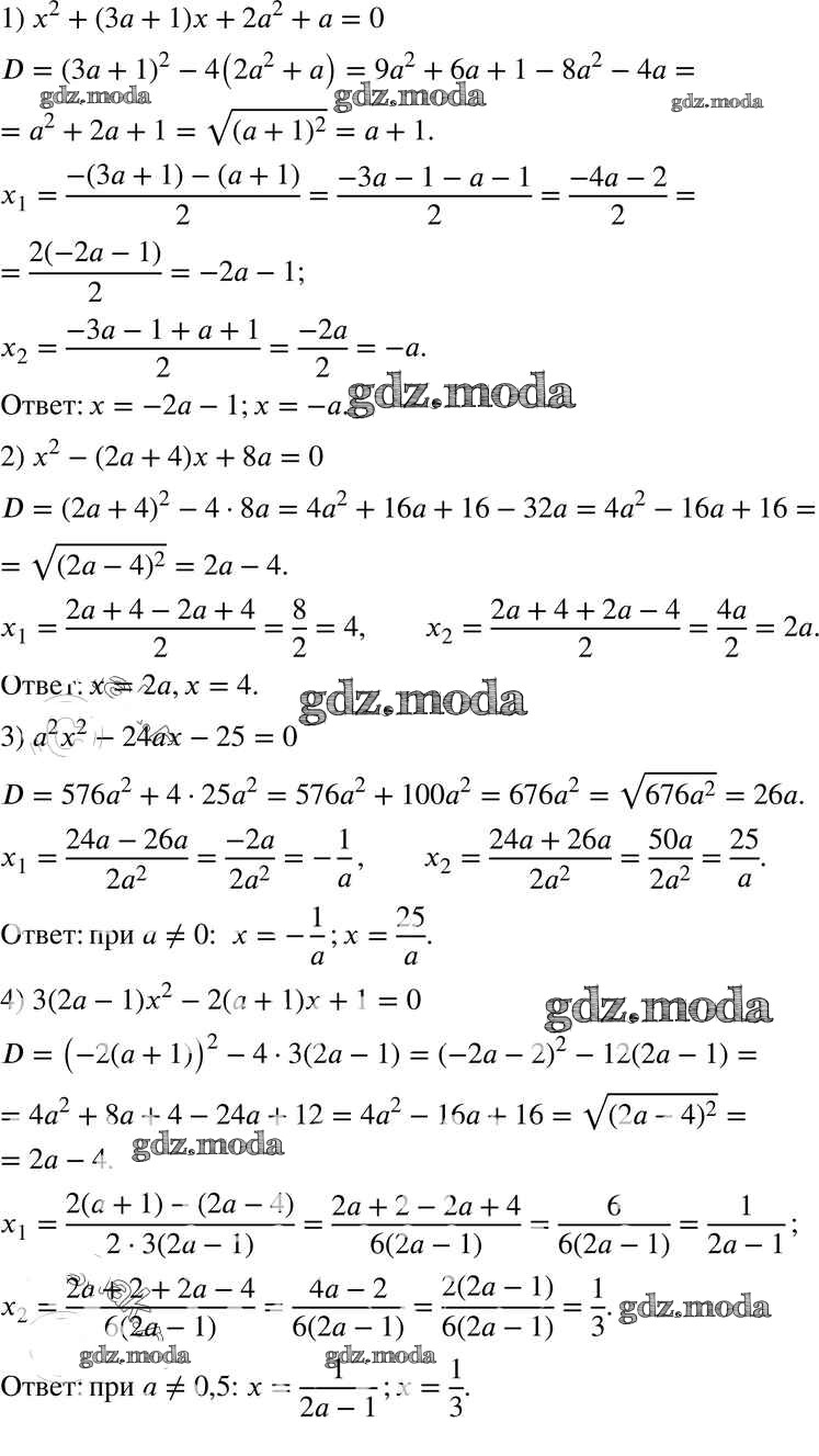
ОТВЕТ на задание № 693 Учебник по Алгебре 8 класс Мерзляк Алгоритм успеха
Решебник №1
глава 3 / §20 / 693

Решебник №2
глава 3 / §20 / 693

Решебник №3
глава 3 / §20 / 693



Решебник №4
глава 3 / §20 / 693


Решебник №5
глава 3 / §20 / 693


Решебник №6
глава 3 / §20 / 693



Все ГДЗ по Алгебре 8 класс Алгоритм успеха