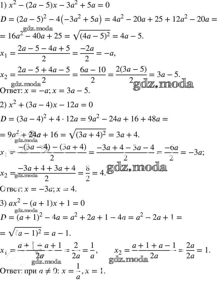
ОТВЕТ на задание № 694 Учебник по Алгебре 8 класс Мерзляк Алгоритм успеха
Решебник №1
глава 3 / §20 / 694

Решебник №2
глава 3 / §20 / 694

Решебник №3
глава 3 / §20 / 694


Решебник №4
глава 3 / §20 / 694


Решебник №5
глава 3 / §20 / 694

Решебник №6
глава 3 / §20 / 694


Все ГДЗ по Алгебре 8 класс Алгоритм успеха