ОТВЕТ на задание № 788 Учебник по Алгебре 8 класс Мерзляк Алгоритм успеха
Решебник №1
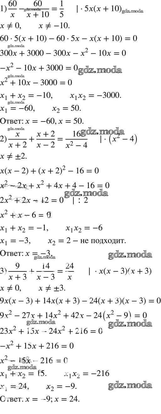
глава 3 / §23 / 788

Решебник №2
глава 3 / §23 / 788


Решебник №3
глава 3 / §23 / 788



Решебник №4
глава 3 / §23 / 788


Решебник №5
глава 3 / §23 / 788


Решебник №6
глава 3 / §23 / 788



Все ГДЗ по Алгебре 8 класс Алгоритм успеха