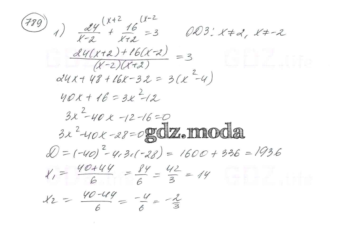
ОТВЕТ на задание № 789 Учебник по Алгебре 8 класс Мерзляк Алгоритм успеха
Решебник №1
глава 3 / §23 / 789

Решебник №2
глава 3 / §23 / 789

Решебник №3
глава 3 / §23 / 789



Решебник №4
глава 3 / §23 / 789

Решебник №5
глава 3 / §23 / 789


Решебник №6
глава 3 / §23 / 789


Все ГДЗ по Алгебре 8 класс Алгоритм успеха