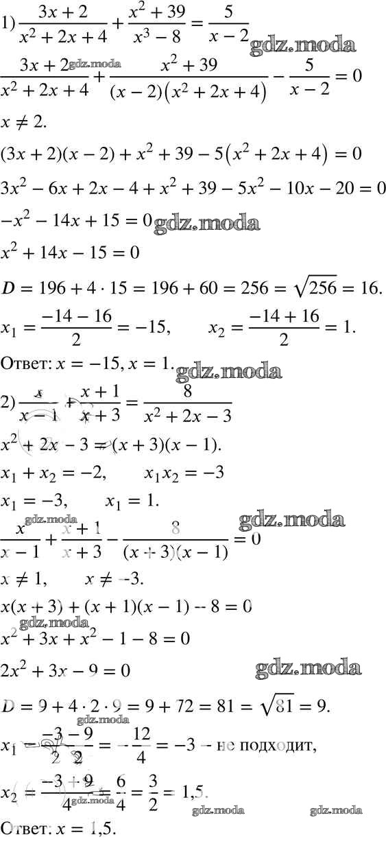
ОТВЕТ на задание № 792 Учебник по Алгебре 8 класс Мерзляк Алгоритм успеха
Решебник №1
глава 3 / §23 / 792

Решебник №2
глава 3 / §23 / 792

Решебник №3
глава 3 / §23 / 792



Решебник №4
глава 3 / §23 / 792

Решебник №5
глава 3 / §23 / 792

Решебник №6
глава 3 / §23 / 792

Все ГДЗ по Алгебре 8 класс Алгоритм успеха