ОТВЕТ на задание № 793 Учебник по Алгебре 8 класс Мерзляк Алгоритм успеха
Решебник №1
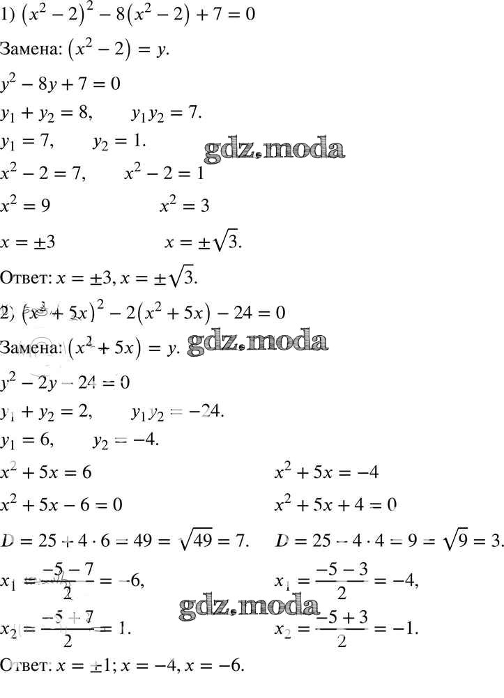
глава 3 / §23 / 793

Решебник №2
глава 3 / §23 / 793


Решебник №3
глава 3 / §23 / 793



Решебник №4
глава 3 / §23 / 793


Решебник №5
глава 3 / §23 / 793


Решебник №6
глава 3 / §23 / 793


Все ГДЗ по Алгебре 8 класс Алгоритм успеха