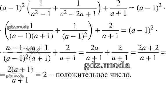
ОТВЕТ на задание № 798 Учебник по Алгебре 8 класс Мерзляк Алгоритм успеха
Решебник №1
глава 3 / §23 / 798

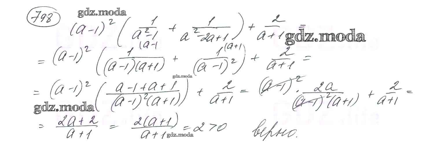
Решебник №2
глава 3 / §23 / 798

Решебник №3
глава 3 / §23 / 798


Решебник №4
глава 3 / §23 / 798

Решебник №5
глава 3 / §23 / 798

Решебник №6
глава 3 / §23 / 798

Все ГДЗ по Алгебре 8 класс Алгоритм успеха