ОТВЕТ на задание № 799 Учебник по Алгебре 8 класс Мерзляк Алгоритм успеха
Решебник №1
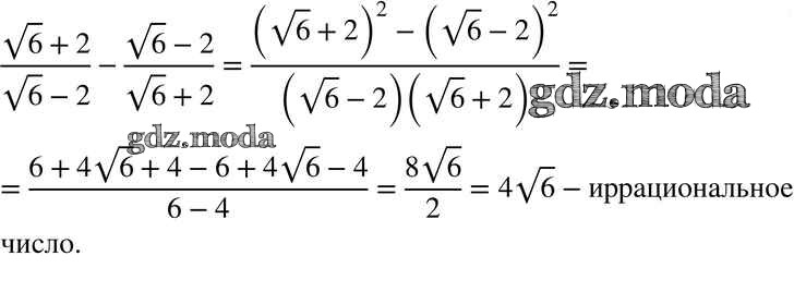
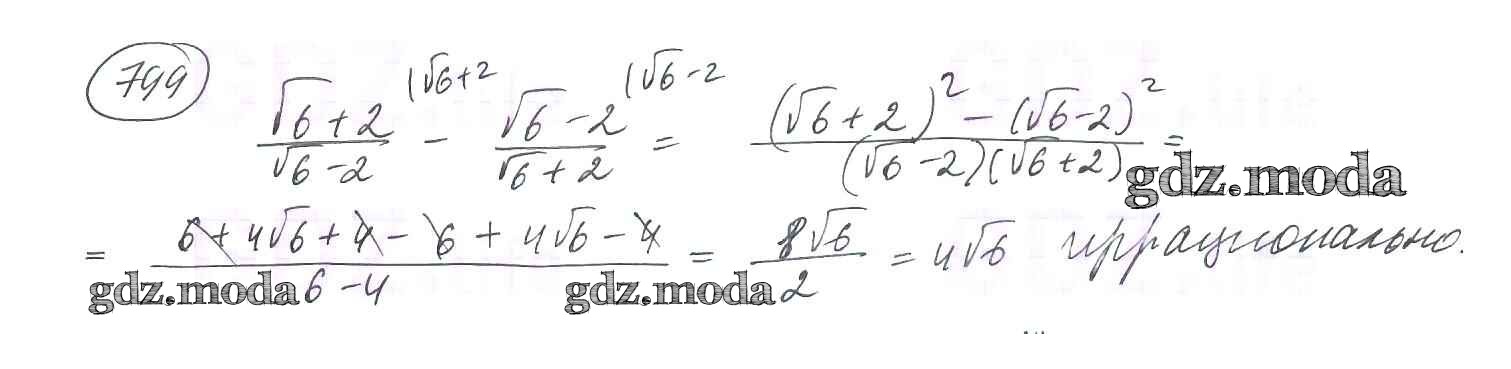
глава 3 / §23 / 799

Решебник №2
глава 3 / §23 / 799

Решебник №3
глава 3 / §23 / 799

Решебник №4
глава 3 / §23 / 799

Решебник №5
глава 3 / §23 / 799


Решебник №6
глава 3 / §23 / 799

Все ГДЗ по Алгебре 8 класс Алгоритм успеха