ОТВЕТ на задание № 875 Учебник по Алгебре 8 класс Мерзляк Алгоритм успеха
Решебник №1
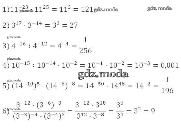
упражнение для повторения / 875

Решебник №2
упражнение для повторения / 875

Решебник №4
упражнение для повторения / 875

Решебник №6
упражнение для повторения / 875

Все ГДЗ по Алгебре 8 класс Алгоритм успеха