ОТВЕТ на задание № 876 Учебник по Алгебре 8 класс Мерзляк Алгоритм успеха
Решебник №1
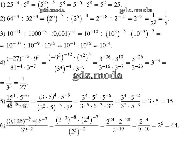
упражнение для повторения / 876

Решебник №2
упражнение для повторения / 876

Решебник №4
упражнение для повторения / 876

Решебник №6
упражнение для повторения / 876


Все ГДЗ по Алгебре 8 класс Алгоритм успеха