ОТВЕТ на задание № 877 Учебник по Алгебре 8 класс Мерзляк Алгоритм успеха
Решебник №1
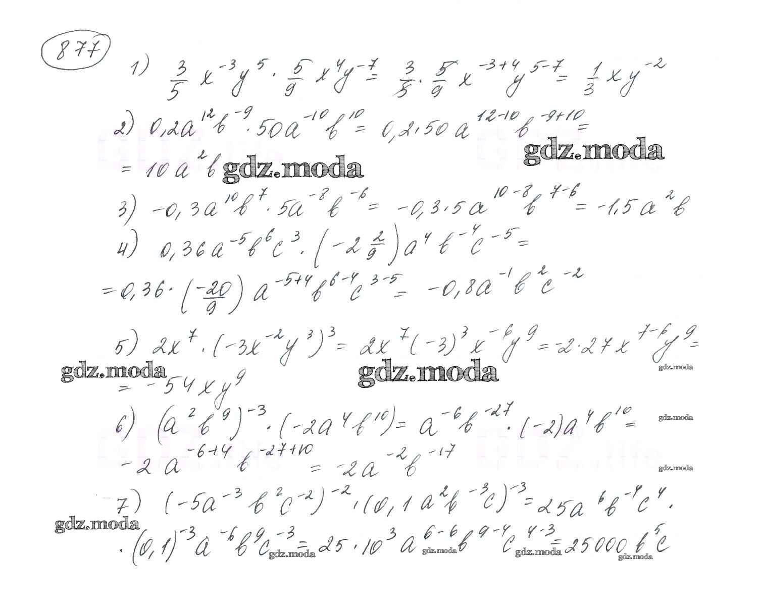
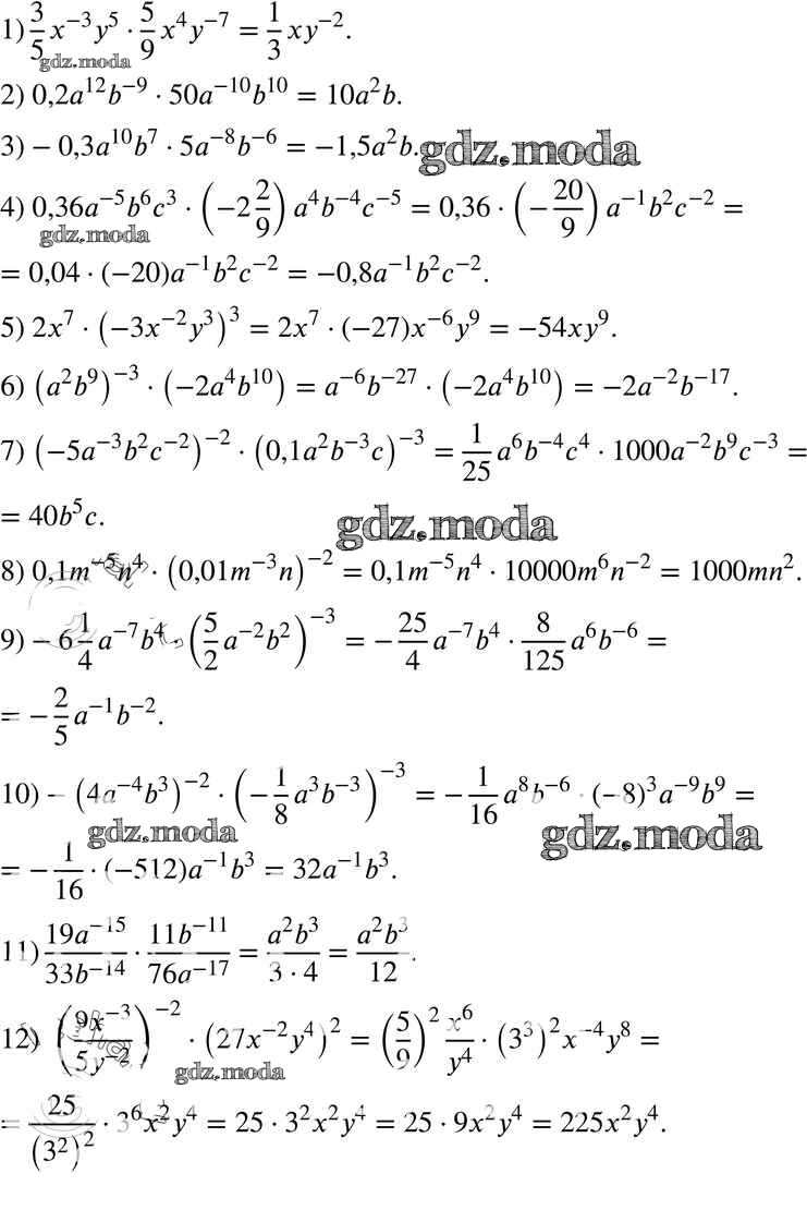
упражнение для повторения / 877

Решебник №2
упражнение для повторения / 877

Решебник №4
упражнение для повторения / 877

Решебник №6
упражнение для повторения / 877


Все ГДЗ по Алгебре 8 класс Алгоритм успеха