ОТВЕТ на задание № 909 Учебник по Алгебре 8 класс Мерзляк Алгоритм успеха
Решебник №1
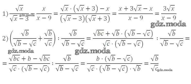
упражнение для повторения / 909

Решебник №2
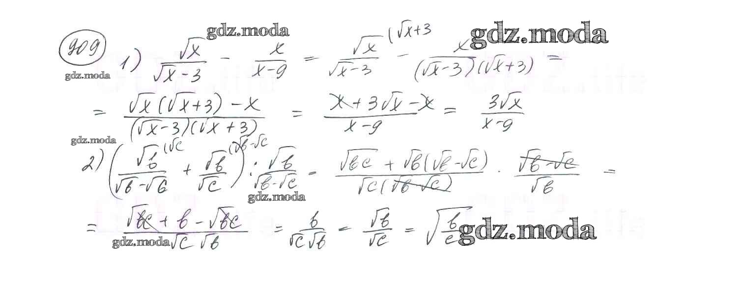
упражнение для повторения / 909

Решебник №4
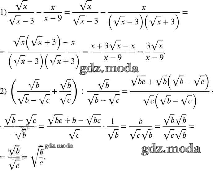
упражнение для повторения / 909

Решебник №6
упражнение для повторения / 909

Все ГДЗ по Алгебре 8 класс Алгоритм успеха