ОТВЕТ на задание № 910 Учебник по Алгебре 8 класс Мерзляк Алгоритм успеха
Решебник №1
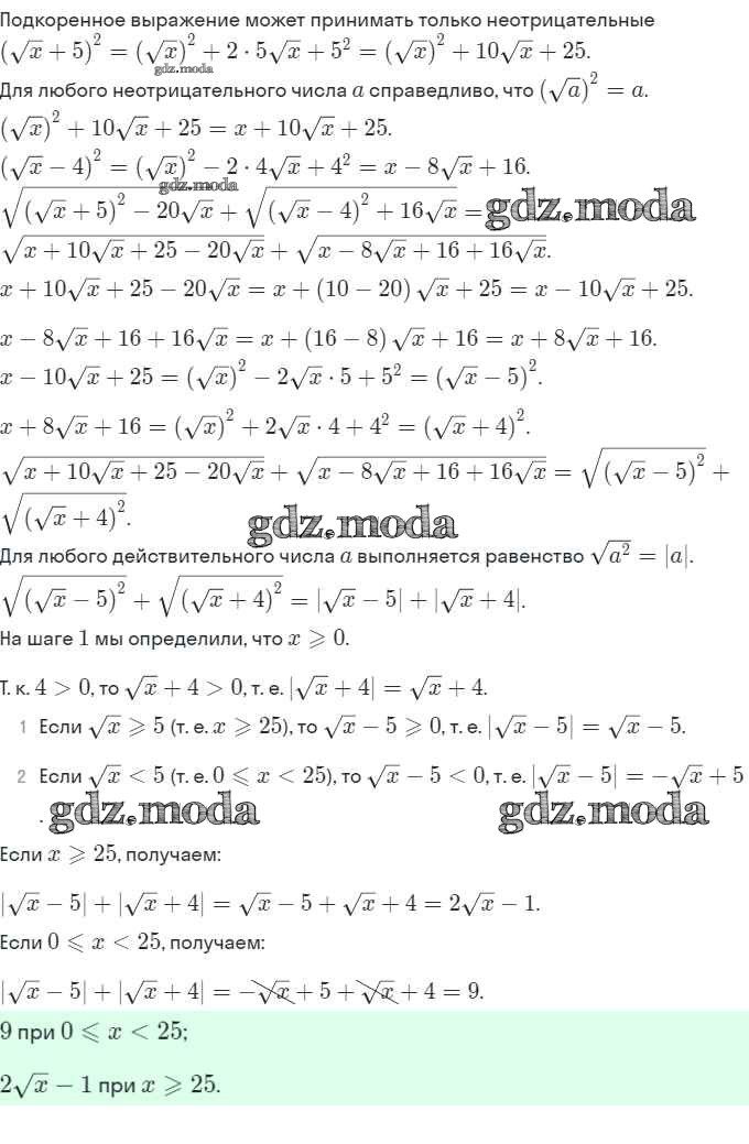
упражнение для повторения / 910

Решебник №2
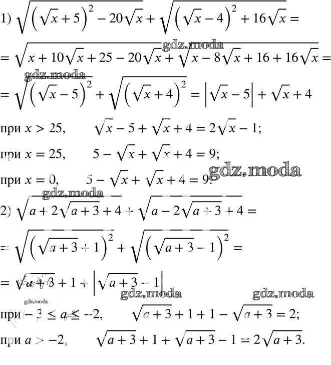
упражнение для повторения / 910

Решебник №4
упражнение для повторения / 910

Решебник №6
упражнение для повторения / 910

Все ГДЗ по Алгебре 8 класс Алгоритм успеха