Классы
1 класс
2 класс
3 класс
4 класс
5 класс
6 класс
7 класс
8 класс
9 класс
10 класс
11 класс
Предметы
Алгебра
Английский язык
Белорусский язык
Биология
География
Геометрия
Естествознание
Информатика
Искусство
История
Кубановедение
Литература
Математика
Музыка
Немецкий язык
ОБЖ
Обществознание
Окружающий мир
Основы здоровья
Природоведение
Русский язык
Технология
Украинский язык
Физика
Французский язык
Химия
Человек и мир
Я исследую мир
ГДЗ
8 класс
Геометрия
Гаврилова поурочные разработки
2
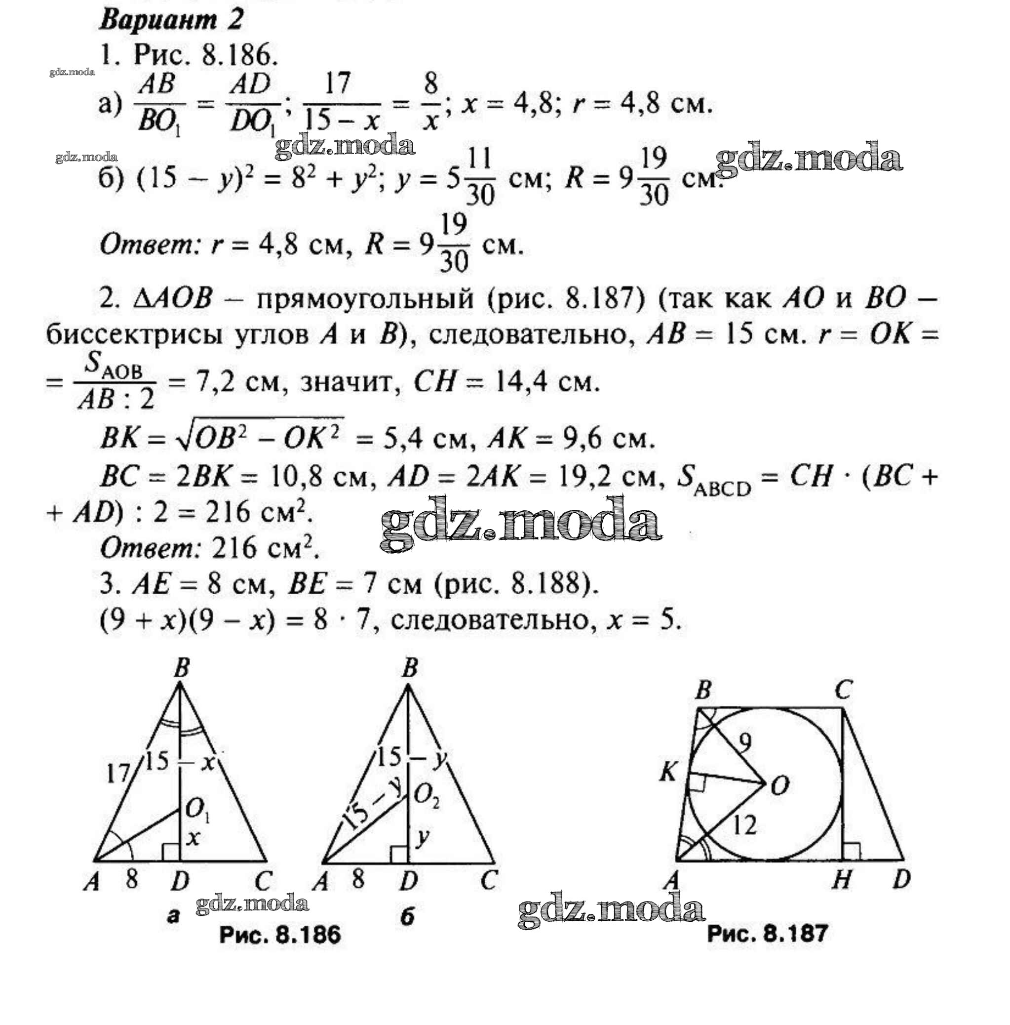
ОТВЕТ на задание № 2 Поурочные разработки по Геометрии 8 класс Гаврилова
Показать содержание
← Предыдущее
Следующее →
Решебник
контрольная работа / глава 8 / контрольная работа 5 / уровень сложности 3 / 2
Показать содержание
← Предыдущее
Следующее →
ГДЗ решение к заданию № 2 Геометрия 8 класс поурочные разработки Гаврилова ВАКО 2010 бесплатно на гдз.мода!