Классы
1 класс
2 класс
3 класс
4 класс
5 класс
6 класс
7 класс
8 класс
9 класс
10 класс
11 класс
Предметы
Алгебра
Английский язык
Белорусский язык
Биология
География
Геометрия
Естествознание
Информатика
Искусство
История
Кубановедение
Литература
Математика
Музыка
Немецкий язык
ОБЖ
Обществознание
Окружающий мир
Основы здоровья
Природоведение
Русский язык
Технология
Украинский язык
Физика
Французский язык
Химия
Человек и мир
Я исследую мир
ГДЗ
9 класс
Алгебра
сборник заданий Кузнецова
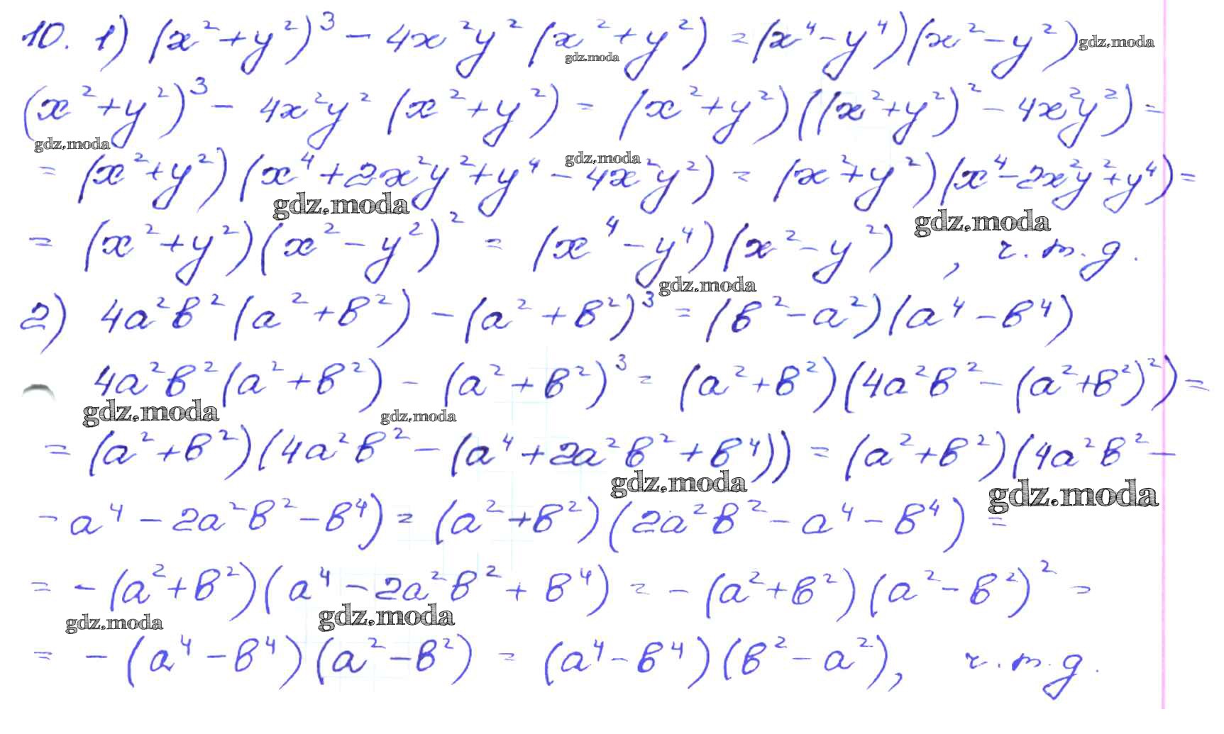
10
ОТВЕТ на задание № 10 Сборник заданий по Алгебре 9 класс Кузнецова
Показать содержание
← Предыдущее
Следующее →
Решебник
часть 2. задание / 10
Показать содержание
← Предыдущее
Следующее →
ГДЗ решение к заданию № 10 Алгебра 9 класс сборник заданий Кузнецова Л.В. Дрофа 2008 ФГОС бесплатно на гдз.мода!