Классы
1 класс
2 класс
3 класс
4 класс
5 класс
6 класс
7 класс
8 класс
9 класс
10 класс
11 класс
Предметы
Алгебра
Английский язык
Белорусский язык
Биология
География
Геометрия
Естествознание
Информатика
Искусство
История
Кубановедение
Литература
Математика
Музыка
Немецкий язык
ОБЖ
Обществознание
Окружающий мир
Основы здоровья
Природоведение
Русский язык
Технология
Украинский язык
Физика
Французский язык
Химия
Человек и мир
Я исследую мир
ГДЗ
9 класс
Химия
Габриелян
7
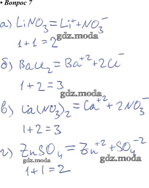
ОТВЕТ на задание № 7 Учебник по Химии 9 класс Габриелян
Показать содержание
← Предыдущее
Следующее →
Решебник 1
§5 / 7
Решебник 2
§5 / 7
Показать содержание
← Предыдущее
Следующее →
ГДЗ решение к заданию № 7 Химия 9 класс Габриелян О.С. Просвещение 2021 ФГОС бесплатно на гдз.мода!