Классы
1 класс
2 класс
3 класс
4 класс
5 класс
6 класс
7 класс
8 класс
9 класс
10 класс
11 класс
Предметы
Алгебра
Английский язык
Белорусский язык
Биология
География
Геометрия
Естествознание
Информатика
Искусство
История
Кубановедение
Литература
Математика
Музыка
Немецкий язык
ОБЖ
Обществознание
Окружающий мир
Основы здоровья
Природоведение
Русский язык
Технология
Украинский язык
Физика
Французский язык
Химия
Человек и мир
Я исследую мир
ГДЗ
10 класс
Алгебра
самостоятельные работы Александрова, Мордкович
вариант 2
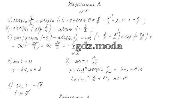
ОТВЕТ на задание № вариант 2 Самостоятельные работы по Алгебре 10 класс Александрова Базовый уровень
Показать содержание
← Предыдущее
Следующее →
Решебник
глава 3 / ср-19 / вариант 2
Показать содержание
← Предыдущее
Следующее →
ГДЗ решение к заданию № вариант 2 Алгебра и начала математического анализа 10 класс Самостоятельные работы Александрова Л.А. Мнемозина 2017 Базовый уровень ФГОС бесплатно на гдз.мода!