Классы
1 класс
2 класс
3 класс
4 класс
5 класс
6 класс
7 класс
8 класс
9 класс
10 класс
11 класс
Предметы
Алгебра
Английский язык
Белорусский язык
Биология
География
Геометрия
Естествознание
Информатика
Искусство
История
Кубановедение
Литература
Математика
Музыка
Немецкий язык
ОБЖ
Обществознание
Окружающий мир
Основы здоровья
Природоведение
Русский язык
Технология
Украинский язык
Физика
Французский язык
Химия
Человек и мир
Я исследую мир
ГДЗ
10 класс
Алгебра
Потапов дидактические материалы
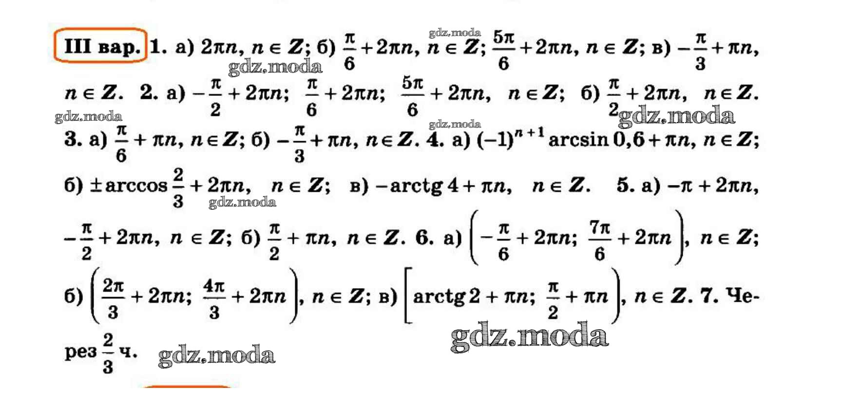
3
ОТВЕТ на задание № 3 Дидактические материалы по Алгебре 10 класс Потапов МГУ - школе
Показать содержание
← Предыдущее
Следующее →
Решебник
контрольная работа 7 / 3
Показать содержание
← Предыдущее
Следующее →
Все ГДЗ по
Алгебре 10 класс МГУ - школе
ГДЗ решение к заданию № 3 Алгебра 10 класс дидактические материалы Потапов Просвещение 2019 бесплатно на гдз.мода!